Houses are rarely a single volume with a single enclosing skin. Houses and buildings have zones that are partially inside and partially outside a building, like attics, basements, crawl spaces and attached garages. It would be nice to know their contribution to the overall building leakage. It turns out that for a zone, we can estimate the approximate leakage area around the zone, as a help in finding leakage sites. They call the technique Zone Pressure Differences or ZPD. It involves making measurements twice, once with an added hole in the enclosure—leading to the name “add-a-hole” method. If a zone is supposed to be fully inside a building, like a basement or a closed crawl space, or fully outside like an attic or an attached garage, ZPD is a great guide. This approach was developed by Michael Blasnik, working on row houses in Philadelphia. Anthony Cox and Collin Olson developed a ZPD spreadsheet that was widely used in the weatherization community. What Blasnik, Cox and Olson did not do was show the math behind the method.
My education was decidedly “old school”. One of the signature elements of an old school education is derivation. A math theorem, physics principle or engineering precept was never allowed to stand simply on the authority of the teacher or presenter. Let’s derive the add-a-hole method.
I recall, vividly, my Structural Planning professor, William LeMessurier, on Mondays from 9 to 11. He came to class on the first day of the semester and announced there would be no homework, no tests, no exam, everyone gets an A, please come to class and pay attention. And he started in. He would ask a question, then begin writing equations on the board. Most architects despised equations, I loved them. And for an hour he wrote equations, took a smoke break and re-entered the classroom. Then he would stare at the class and recount the war story of a building. He was the best storyteller I’ve ever known. He would describe the building, the structure, how the gravity load was carried, and the seismic and wind load. Here the architecture students hung on every word. But something was to go wrong. He’d describe the problem and how it manifested itself, sometimes in actual failure, sometimes incipient. This building, and its problem, advanced toward a dramatic climax. What was he as structural engineer to do? Well—then he would go back to the board and rewrite all the equations from the first half of the class, saying remember? Remember? And the answer was derived. My notebook of that class is among my most treasured possessions.
Suppose we do a derivation of the zone pressure difference method.

Flow through a hole is proportional to the area and to the pressure difference with a flow exponent. The general expression for flow of any fluid through an opening is

where, using inch-pound units except for Pascals (Pa):
- F is the flow in cubic feet per minute (cfm)
- C is a flow coefficient, to get the units to match up (cfm / (in2 · Pan))
- A is the area of the opening (in2)
- ∆P (“delta P”) is the pressure difference on either side of the opening (Pa), and
- n is the flow exponent (often 0.65 is used with air at low pressures)
We know as a rule of thumb that a hole of 1 in2 introduces about 10 cfm of air at 50 Pa pressure difference. The flow coefficient we may use is:

In blower door testing we may use flow units of cfm50 where the flow is as if it were exactly 50 Pascals with respect to the outdoors. The house pressure may not be exactly 50 Pa, so the flow at measured house pressure (cfm) to the flow at the house pressure as if it were 50 Pa (cfm50) is. This will come in handy, as we’ll see.

Attic

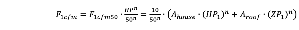
In the first case we consider an attic zone. “HP” is the house pressure, “ZP” is the zone pressure, “0” we take as the outdoor pressure because HP and ZP are the “deltas” with respect to outdoors. Area A of the roof, ceiling and house are the areas of the openings (not surface areas). Now we set up and run the blower door test. Part of the flow traverses the attic (blue arrow), and we’re going to ignore complex flows that might go from the house into the attic and back into the house. The rest of the air flow (red arrow) traverses the rest of the house. We should note that, using our simplified blue arrow, the flow from outdoors into the attic equals the flow from the attic to the house. What does ZP1 (zone pressure 1) tell us? It will have a value somewhere between 0 (if the attic is fully outdoors) and HP1 (fully indoors). Its value will depend on the relative resistance to flow offered by the openings at the roof and at the ceiling.
The measured flow at the blower door is the sum of two flows. The pressures are measured with respect to the outdoors, thus the zero in the first equation:

To convert our results into units of cfm50, insert the value for the coefficient C and ditch the zeros.

Cancelling the 50n, and dividing both sides by HP1n:

This result gives us a sense of the relative contribution of flow through the attic versus flow through the rest of the house. But to get to a very interesting result we do a second zone pressure test, this one after adding a hole from the house into the zone to be measured. It can be any hole, though we will discuss what kind of hole might give us a most reliable result.

We expect greater flow through the attic, represented by the green arrow. We do the same measurements as before, but we expect different values for flow and zone pressure.

Subtracting the two equations:

Rearranging can give us the size of the opening in the roof, a very interesting result.

Since, in the first test, the flow is the same through the roof openings and through the ceiling openings, the net opening area of the ceiling (zone to house) can be calculated:

Foundation
In the second case, we may consider a hole added at the outside. Then:

and


In actual add-a-hole tests, the opening should be created in the tighter of the two possible enclosures. In attics, it may be presumed that the ceiling is more airtight than the roof. In basements or crawl spaces, it may be presumed that the foundation wall is tighter than the floor that separates the foundation from the living space.
I usually recommend that the added hole should change the zone pressure by at least 5 Pa. To make a minor difference in the pressure is to come up with an unreliable answer. How can you estimate the error in the method?
I’m sure you can write code for this, and make your own little spreadsheet or app, for the next time you’re using the blower door. Or maybe your kid can write the code. I recommend you take this step, so that you get for yourself a feel for how good your answer will be. How good is your pressure measurement? Might it be off by 1 or 2 Pa, up or down? If your app can do a quick calculation then you can see what difference a Pascal will make in the area answer. You’ll probably find it makes a rather big difference, and that will help temper your enthusiasm about exact results.
But you still have the thrill of derivation.

Leave a comment